尼龍彈性體與TPU的區別在哪裏?
尼龍彈性體,是由剛性聚酰胺和柔性聚醚嵌段組成的聚醚酰胺嵌段共聚物。

它具有超輕質、高強度、柔韌、耐久、高回彈、高抗衝、耐低溫、透氣、永久抗靜電等特性,被廣泛應用於運動裝備、消費電子產品、防水服飾、醫療等領域。
而TPU,熱塑性聚氨酯彈性體,是由軟段(聚醚或聚酯),與硬段(聚氨酯)組成的線性嵌段共聚物,可以加熱塑化進行加工,具有高強度、高韌性、耐磨、耐油等優異的綜合性能。

作為性能優良的熱塑性彈性體,TPU的下遊產品方向同樣非常廣泛,比如日用品、體育用品、玩具、裝飾材料等領域。
那麼,尼龍彈性體和TPU相比如何呢?
尼龍彈性體具有優異的彈性、耐化學腐蝕、耐磨性和耐熱性等物理性質,其硬度範圍廣泛,從Shore A 20到D 40之間。尼龍彈性體的主要化學結構是聚酰胺,由相鄰的兩個氨基和每個氨基上的一個羧酸基組成,可以通過改變聚合物化學結構來改變其強度、耐磨性和抗氧化性等性能。尼龍彈性體在汽車、機械和電子電氣等領域有廣泛的應用,例如汽車懸架、轉向係統和發動機支架,機械傳動係統中的彈性密封圈和減震器,以及電子電氣領域中的鍵盤、按鈕和耳塞等。尼龍彈性體的合成技術門檻較高。
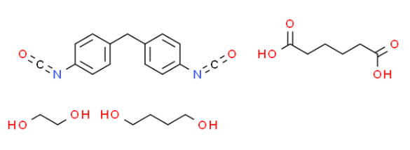
TPU是由含NCO官能基的MDI(二苯甲烷二異氰酸酯)或TDI(甲苯二異氰酸酯)等二異氰酸酯類分子和大分子多元醇、低分子多元醇(擴鏈劑)共同反應聚合而成的高分子材料。TPU的分子基本上是線性的,存在一定量的物理交換,這種物理交聯的作用使得聚氨酯形成了多相形態結構。TPU具有耐磨、耐油、透明、彈性好等特點,廣泛應用於日常用品、體育用品、玩具、裝飾材料等多個領域。
熱門文章
-
老生常談,POM均聚甲醛和共聚甲醛的區別
POM是常見的工程塑料之一,而均聚甲醛和共聚甲醛是最常見的POM材料,二者結構相似,有很多共同點,那麼二者之間有什麼有什麼區別?今天就跟小編一起來了解一下。一、背景1960年 美國杜邦(DuPont)公司首次將均聚物型樹脂(DELRIN)商品化。1961年 美國Celanese公司(現在的Ti
瀏覽量:9184 -
你可知道PS塑料和ABS塑料哪個好?
問:ABS塑料與PS塑料哪個好? 答:一般來說,ABS塑料性能是優於PS塑料的,你用PS塑料可以做的產品,ABS塑料一般都可以打出來,而用ABS原料可以做的產品,PS原料不一定能做出來。 如果
瀏覽量:8362 -
ETPU是什麼材料?這個就是我們要了解的
ETPU是一種質地柔軟、彈性極佳,耐磨、耐撕裂、止滑性能優異的熱塑彈性體材料,廣泛應用於鞋材領域,不但適合製作運動鞋中底和內底,還適合用於抗反複衝擊、運動防護、阻尼、家
瀏覽量:7897 -
帶你了解POP和POE塑料的區別在哪裏?
兩者沒有本質的區別,隻是共聚單體含量上有所區別,絕大部分塑性體和彈性體基料都是乙烯,隻有DOW的Versify、EXXON的Vistamaxx、三井的Tafmer是丙烯基,共聚單體都為辛烯(8C)、己烯(6C)或丁烯(4C),一般POE共聚單體含量高於20%,POP共聚單體小於20%,因為共聚單體含量的多少導致POE與POP的密度差異,一般POP的密度要高與POE。
瀏覽量:6061 -
聚丙烯帶你了解均聚PP和共聚PP的區別
聚丙烯,是由丙烯聚合而製得的一種熱塑性樹脂。按甲基排列位置分為等規聚丙烯(isotactic polypropylene)、無規聚丙烯(atactic polypropylene)和間規聚丙烯(syndiotactic polypropylene)三種,今
瀏覽量:5218 -
韓國SK材料ECOZEN與SKYGREEN的區別在哪裏?
現實生活中很多透明食品容器都用不含雙酚A的透明塑膠原料,所以很多選擇韓國SK材料ECOZEN與SKYGREEN,今天小編一一帶大家分別韓國SK材料ECOZEN與SKYGREEN的區別在哪裏? ECOZEN是透明耐高溫
瀏覽量:5107 -
SPS是什麼塑料?關於XAREC簡單介紹
間規聚苯乙烯樹脂(SPS塑料),是1985年由日本出光成功合成,並於1997年由日本出光實現工業化的純國產聚合物。(商品名《XAREC》是使用間規聚苯乙烯樹脂(SPS)的等級群的品牌。)
瀏覽量:4980 -
POM與PA比,哪個更耐磨?
眾所周知塑料齒輪多采用POM和PA,POM因剛性和耐疲勞性高,具有更廣泛的應用,POM齒輪相對金屬齒輪有較多的優點:質量輕、工作噪音小、耐磨損、無需潤滑、可以成型較為複雜的形狀、
瀏覽量:4960 -
速看!耐高溫塑料彙總:8大類高耐熱工程塑料···
塑料按長期使用溫度分類,可分為通用塑料、工程塑料和高溫工程塑料,其中高溫塑料又被稱為耐熱塑料、高性能塑料、特種工程塑料等。工程塑料的長期使用溫度在100℃至150℃左右。五大工程塑料包括PA、POM、PBT、PC和PPO。通常應用於機械零件、汽車、電器電子等領域。高溫工程塑料的使用溫度在150℃以上,這類材料除了較高的耐
瀏覽量:4310 -
PC抗老化一般幾年?這就是我們要了解的
PC塑料簡介(聚碳酸酯) 英文名稱:Polycarbonate 聚碳酸酯是日常常見的一種材料,PC是一種線型碳酸聚酯,分子中碳酸基團與另一些基團交替排列,這些基團可以是芳香族,可以是脂肪族,也可兩者皆有。雙酚A型PC是很重要的工業產品,PC是幾乎無色的玻璃態的無定形聚合物,有很好的光學性。現在PC的介紹已經介紹完了,那現在我們要
瀏覽量:4272 -
關於PPE/PS、你知道多少呢?
PPE/PS就是PPO,中文名稱叫聚苯醚,PPE/PS複合材料是在PPE的基礎上機上其他熱塑性材料例如PS(苯乙烯)、PA(聚酰胺,俗稱尼龍)等材料的複合材料。這樣加工成型後具有良好的幾何穩定性、化
瀏覽量:4065 -
關於PMP材料,你了解多少?
相關詞條 PMP簡介 PMP特性 PMP應用 PMP注塑 PMP簡介 PMP學名 聚4-甲基戊烯-1單體 4-甲基戊烯-1本色 聚4-甲基戊烯-1是一種高結晶透明塑料,比重為0.83,是所有塑料中最輕的。表麵硬度較低,無
瀏覽量:3835 -
聚芳碸(PASF)是什麼材料?
中文名稱:聚芳碸 英文名稱:polyarylsulfone 牌號:PAS 色態:琥珀色透明顆粒 製得:由4,4`-二磺酰氯二苯醚與聯苯反應製得 應用:常用作金屬詹黏結劑。 PASF聚芳碸性能 與雙酚A型聚碸相比
瀏覽量:3776 -
PC抗UV與不抗UV有何區別?
PC抗UV就是PC塑膠原料含有抗紫外線吸收劑 熱穩定劑,含有抗紫外線,耐老化,耐黃變的性能,UV是紫外線的縮寫,英文全稱為ultraviolet,紫外線波長為:10-400nm , UVA 波長在 320-390nm ,紫外線會導致設備外殼老化,暴露在戶外的設備通常需要抗uv。抗UV耐候PC原料在日常生活中,處處可見的陽光棚的板、電動車遮陽棚、瓦楞板、
瀏覽量:3413 -
PEI ULTEM材料眼鏡與PA12 TR90材料眼鏡有什···
現在很多的眼鏡架都是塑料製品,那麼你知道這些塑料製品一般是什麼材料嗎?眼鏡架最主要的是由PEI ULTEM材料和PA12 TR90材料製作的,那麼PEI ULTEM材料眼鏡與PA12 TR90材料眼鏡有什麼區別
瀏覽量:3401
推薦文章
9月26日塑膠原料現貨價格行情表一覽PE塑膠原料? 市場價格穩中上漲,部分石化陸續上調出廠價格,在整體成本的支撐下,持貨商隨行就市報盤走高。國內LLDPE參考價格在9650-10000元/噸。 PP塑膠原料? 市場高位震蕩,部分
手機外殼材料打磨拋光設備及工藝解決方案5G時代即將到來,手機外殼材料從塑膠到金屬又到非金屬材質的輪回,塑膠因為成本低,受到中低端市場的青睞。塑膠外殼的材料通常主要用ABS、PC、PPO、PC+ABS等工程塑料、合金與碳纖維
帝人Multilon無鹵阻燃級PC/ABS型號介紹帝人Multilon無鹵阻燃級PC/ABS是聚碳酸酯和丙烯腈-丁二烯-苯乙烯共聚物和混合物,是由聚碳酸酯(Polycarbonate)和聚丙烯腈(ABS)合金而成的熱可塑性塑膠,結合了兩種材料的優異特性,
Polyetherimide(聚醚酰亞胺)是什麼材料?一、PEI聚醚酰亞胺物理性能PEI,聚醚酰亞胺,Polyetherimide簡稱PEI,是琥珀色透明固體。 從 PEI 的化學性結構式可知,它是一種芳族高分子聚合物。PEI 的化學性結構式PEI具有很強的高溫穩定性,即使是非增強型的PEI,仍具有很好的韌性和強度。因此,利用PEI優越的熱穩定性可用來製作高溫耐熱器件。具有優良的機械性能、電絕
尼龍6/66吸水後,會發生哪些變化?尼龍主要成分是聚酰胺,其酰胺基有極性,使尼龍具有吸水和脫水雙麵性,沒有吸水的尼龍比較脆而容易斷裂,而吸了水以後其物理性能才會顯現出來,尼龍的製品在長期幹燥、低溫環境使用中會出現脫水現象就會變脆斷裂,縮短尼龍的使用壽命。尼龍6/66吸水後對性能有何影響,為您介紹一下。01、結晶度和晶體結構對尼龍6/66的晶體學
新料lcp多少錢一噸?這就是你要了解的往常LCP塑料曾經被應用在了多個範疇內,這類資料所發揮的成效是不可替代的,近年來隨著市場需求量的增加,我們可以發現市麵上湧現了很多不同範圍的LCP塑料消費廠家,到底新料
帶您了解OPP、BOPP、CPP薄膜的區別OPP薄膜是聚丙烯薄膜中的一種,由於生產過程為多層擠出,故稱為共擠壓定向聚丙烯薄膜(OPP)。如果加工中有雙向拉伸的過程,則稱為雙向拉伸定向聚丙烯薄膜(BOPP)。相對於共擠壓加工過程而言,另一種稱為流延聚丙烯薄膜(CPP)。三種薄膜的性能和用途有所區別。一、OPP薄膜OPP:定向聚丙烯(薄膜),拉伸性聚丙烯,是聚丙烯的
耐低溫PC塑料具有哪些耐寒性能的優勢呢?耐低溫PC塑料 在製造業可以說是擁有著非常廣泛的應用,在我們生活和工作當中的使用也是非常的廣泛,所以現在生產這種塑料的廠家越來越多,在銷售的過程中也確實得到了很多的優
汽車車燈生產用到的有哪些改性塑料?汽車車燈是車輛照明用的工具,主要可分為前車燈(按功能可分為 近光燈、遠光燈、前轉向燈、前位燈 、 前霧燈),後車燈(一般由後位燈、倒車燈、製動燈、後霧燈、後轉向燈,和回複
對於Thermocomp係列PC塑料DX10311你了解多少?
Thermocomp係列PC DX10311是一種非晶體工程材料,具有特別好的抗衝擊強度、熱穩定性、光澤度、抑製細菌特性、阻燃特性以及抗汙染性。PC的缺口伊估德衝擊強度(otched Izod impact stregth)非

























